產品與服務
PRODUCTS AND SERVICES
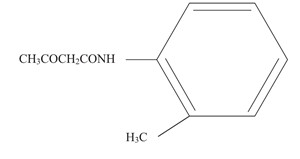
乙酰乙酰鄰甲基苯胺
所屬分類
二乙芳胺系列
產品特性
分子式:C11H13NO2
結構式:

CAS NO.:93-68-5
應用領域:主要用于合成C.l.顏料黃9;14;62及C.l.顏料橙1等品種的偶合組份。

上一個
乙酰乙酰鄰甲氧基苯胺
下一個
乙酰乙酰苯胺
.
Copyright ? 2019 青島海灣集團有限公司 All Rights Reserved
聯(lián)系電話:0532-89076010
魯ICP備14024413號 網站建設:中企動力 青島
Copyright ? 2019 青島海灣集團有限公司 All Rights Reserved
魯公網安備 37021202001462號
聯(lián)系電話:0532-89076010 | 魯ICP備14024413號 | 網站建設:中企動力 青島
